Protocoles

E.TREILLET

Les protocoles méthadone proposent par évaluation clinique (16 études prospectives et 10 rétrospectives) :

  • une dose

  • une voie administrative

  • que faire des opioïdes précédents

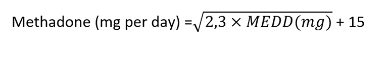
Certains auteurs proposent des formules mathématiques pour estimer le besoin en méthadone mais sans évaluation clinique